Differentiation degree combination weighting method for investment decision-making risk assessment in power grid construction projects

Yuan Chang1,Chenmiao Liu1,Minghua Liu1,Wenxia Liu1,Zongqi Liu1,Heng Zhang2,Yan Zheng2

1.North China Electric Power University,Changping District,Beijing 102206,P.R.China

2.State Grid Economics and Technology Research Institute,Changping District,Beijing 102209,P.R.China

Abstract:Power grid construction projects are distinguished by their wide variety,high investment,long payback period,and close relation to national development and human welfare.To improve the investment accuracy in such projects and effectively prevent investment risks,this paper proposes an investment optimization decision-making method for multiple power grid construction projects under a certain investment scale.Firstly,an in-depth analysis of the characteristics and development requirements of China’s power grid projects was performed.Thereafter,the time sequence and holographic method was adopted to conduct multi-dimensional,multi-perspective risk assessment of different parts of power grid projects,and a holographic risk assessment index system was developed.Moreover,an investment decision model considering the comprehensive risk based on combination weighting was developed according to the output and input of power grid construction projects.A new combination weighting optimization method that takes into account the investment willingness of enterprises was designed to improve the current weighting evaluation methods.Finally,the validity and applicability of the proposed evaluation method were verified by case examples.

Keywords:Power grid projects,Risk assessment,Time sequence,Index system,Combination weighting.

1 Introduction

With the introduction of China’s national strategy for new energy development,the investments of power grid enterprises are increasing as a result of the energy transformation process.Moreover,the implementation of the electricity reform and the entry of private capital have narrowed the profit space of power grid enterprises.These two factors have forced power grid enterprises to reduce their costs.Power grid enterprises are asset intensive,with very high investments in power grid construction.Therefore,achieving accurate investment and improving the investment efficiency are crucial to the sustainable development of power grid enterprises.However,the construction environment of power grid projects is complex,and numerous parts and various uncertain risk factors need to be considered.Moreover,owing to the large scale of the power grid,subordinate units report multiple projects yearly.Therefore,the comprehensive consideration of project risks and project selection has become a subject of great value for power grid enterprises.

In recent years,the theory of risk assessment has been applied to various aspects of power grid construction,including planning,operation,monitoring,and fault recovery.Moreover,preliminary attempts have been made to address investment decisions on power construction projects.The investment decision-making of a power grid project based on risk assessment can be divided into two main stages:the establishment of a risk assessment system,and decision-making based on the risks.In the study of the establishment of risk assessment systems,the benefit risk function based on the benefit has been developed.Furthermore,the accident tree analysis method was used to identify risks according to the techniques,equipment,and construction process,and the potential risk factors affecting the benefit were determined [1].Another study considered the developing characteristics of power grid projects in terms of the time and region,and identified the risk factors from a dynamic perspective,considering the time evolution.Thereafter,a multi-dimensional risk assessment system based on the regional characteristics,such as the economic foundation,grid structure,and planning ability,was established [2].A hierarchical risk assessment system based on the theory of risk element transfer was proposed,which considered the power flow,capital flow,and information flow of power grid projects.It also combined the distribution of the power grid project investment and analyzed the following five aspects:the natural risk element,management risk element,technical risk element,market and economy risk element,and policy risk element [3].Weihui et al.[4]carried out risk assessment not only from the perspectives of safety,time,quality,and environment,but also based on different interest groups.This work effectively extended the risk assessment depth and established a risk evaluation system for multiple subjects.Chongming et al.[5]classified risks according to the manner in which they are formed.A multi-level index system for risk assessment was established based on economic,policy,technical,and natural disaster risks.Furthermore,the key risk factors of power grid projects at their different life stages were analyzed,the risk coordination mechanism of power grid projects was explored,and a life cycle risk assessment system was established [6].

The establishment of the above risk assessment systems was based on a single grid construction project,and the index system was not sufficiently comprehensive.For example,the investment risk of power grid projects caused by changes in the macro-economic environment was not considered.Based on single project risk assessment,power grid enterprises have carried out project risk assessments and ranked the power grid projects according to the assessment results.However,they also need to consider risks resulting from the management of the project.

Two main stages exist in the decision-making research of risk-based grid project investment.The first is assessing the comprehensive risk level of power grid projects based on the risk assessment system,and the second is using mathematical methods to make investment decisions based on the comprehensive risk level assessment results.For the evaluation of the comprehensive risk level,Chuansheng et al.[7]established a risk evaluation system considering the reliability,cost input,and environmental factors.Their approach improved the determination of the relative importance of indexes in the analytic hierarchy process (AHP) by integrating the concept of the relevance degree into the extension mathematics.Therefore,the accuracy of the index weight and the comprehensive risk assessment were improved.Yuou et al.[8]conducted a comprehensive assessment of transmission network planning based on the interval AHP.This method improves the traditional AHP by replacing the point values with interval numbers.It effectively solves the problem of the uncertainty of risk factors as well as the ambiguity of expert judgments,and enhances the weighting outcome credibility.This method uses the maximum-minimum model to solve the weights and converts the weights of the interval-judgment matrix into a linear programming problem by referring to the upper and lower approximation in the rough set theory.Moreover,it improves the computational efficiency and accuracy of the algorithm.After completing a comprehensive risk level assessment,Enchuang et al.[9]made investment decisions on distribution network projects by taking the risks into account.This approach uses the data envelopment analysis method to calculate the relative effective value of the evaluated decision unit by constructing an optimal decision-making unit.It effectively avoids the defects of the subjective judgments of decision makers and provides an objective method for investment decision makers.

Although the above techniques are innovative,several shortcomings remain.Most of these approaches focus on the qualitative analysis of risks.Furthermore,the weighting evaluation method is relatively subjective and one-sided; it cannot reflect the investment willingness of enterprises based on objectivity.The determination of index weights is the key step in risk assessment,and different assessment methods have a significant impact on the final evaluation results.Therefore,a combined subjective-objective weighting method is necessary for evaluation.

According to the above analysis,this paper proposes an investment decision-making method for grid construction projects,based on holographic risk assessment and combined weighting,by investigating the investment risks and risk assessment status of China’s grid enterprise construction projects.The main contributions of this work include the following:(1) A complete risk assessment system is established for power grid projects by adopting the time sequence holographic method,which identifies the risks of power grid projects according to multiple dimensions and angles.The method is designed to aid decision-making among multiple projects,and to assist upper power grid enterprises to make decisions among projects submitted by the subordinate units.(2) The index weights are determined by using the optimal combined weighting method,which can maximize the discrimination of indexes,to aid decision makers with subjective investment decisions based on an objective approach.(3) An investment decision model is established for power grid projects,considering the comprehensive risks.This method can accurately locate the key risk links in power grid projects and provide an appropriate quantitative evaluation,which can provide assistance and support to power grid enterprises in improving their risk management and investment accuracy.

2 Risk assessment index system for investment decision-making based on time sequence and holography method

2.1 Principles of index system establishment

In addition to several general principles of the power grid project,such as being comprehensive,independent,practical,and scientific [10],other characteristics,such as its long-term construction,intensive engineering technology requirements,and system complexity,should be considered.Moreover,to provide investors with as much decision-making information as possible,the established risk assessment system indexes should be comprehensive,fully reflecting the risk level and components in power grid construction.Therefore,this paper proposes a time sequence holography method,with the aim of demonstrating the comprehensive risk information in the investment and construction of power grid projects.The time sequence holography method is used to capture and reveal different characteristics within a system,and their relationships with external systems [11].When studying the risks of complex systems,the time sequence refers to the different system stages on the time axis.Holography refers to a multi-angle and multi-dimensional study method of the different system stages of systems.This method investigates the characteristics and problems of different system stages comprehensively,evaluates its vulnerability,and compensates for the one-sidedness of one-dimensional methods.

2.2 Risk index system

According to the time sequence of power grid project investment and construction,the investment and construction processes of a power grid project can be divided into three stages:the project approval and feasibility research stage,project construction stage,and project operation and management stage [12].This system firstly identifies the risk sources according to multiple dimensions and perspectives.Thereafter,the corresponding holographic sub-level risk indexes are established for each risk source.Finally,a risk assessment index system is established using the time sequence holography structure.

The project approval and feasibility research stage is the first step in the investment and construction of power grid projects.The extent to which the preliminary work meets the requirements directly affects the sustainable development of the project,and plays a key role in achieving the expected economic and social benefits.At this stage,scientific and accurate analyses of the project planning,investment budget,and financing channels are required to ensure that the investment decision is in accordance with national policies and can serve the development of the national economy.Therefore,the risk factors of power grid investment projects are analyzed in terms of three perspectives,namely decision-making,economy,and society.

The project construction stage,which incorporates the power grid project construction and management,exhibits the characteristics of an open-air construction environment,engineering technology intensiveness,and strict organization and deployment.Therefore,this study analyzes the natural environment and engineering technology,combined with the management perspective,and then selects the indexes that can effectively demonstrate whether the power grid project can be completed on time within the budget scope,and whether it can meet the requirements.

The power grid project will enter the formal operation and management stage after the construction and trial operation.If all stages are completed properly,the project operation and production will be likely to provide investors with the expected benefits.Moreover,the functioning and efficiency,as well as security and reliability,of the grid project should meet the changing market supply and demand.The power grid project must also adapt to reforms and development,improve the competitiveness and share rate,and maintain the expected investment benefits.Therefore,the risk factors are analyzed according to the market environment and are combined with the perspectives of reform development and operational effectiveness.

According to the above analysis,a risk assessment index system with an appropriate scale is eventually formed,which can comprehensively illustrate the requirements of the risk level of the power grid project investment and construction in engineering applications,as illustrated in Fig.1.

Fig.1 Risk index system of power grid construction project

3 Risk assessment model for investment decisions

According to the general risk management process,an index system for risk assessment is established to identify the risk factors of the grid construction project during different stages.Thereafter,a model is established to calculate the possibility and consequence severity of each risk index.This study uses the probability and severity grading evaluation model to compare the risks of different projects.

3.1 Probability grading evaluation model of risk indexes

The risks of investment decision-making are classified according to the risk occurrence probability,which is divided into eight grades (from 0 to 7),as indicated in Table 1.

Table 1 Risk probability grades

Grade Probability Significance 0 0 Impossible(0 - 0.1) Almost impossible 2[0.1 - 0.3]Slightly impossible 3[0.3 - 0.5) Slightly possible 4[0.5 - 0.7) Possible 5[0.7 - 0.9) Quite possible 6[0.9 - 1) Almost inevitable 7 1 Inevitable 1

When assessing the risks in the investment decisionmaking process of power grid construction projects,two types of assessment methods are available,based on the risk sources.The first is for those uncertain risk factors arising from the economy,society,nature,and policy.This type of risk assessment needs to be graded by experts.The second assessment method is for those risk factors arising from enterprises or grid companies,and the possibility of such risks can be analyzed by using the information in the postevaluation database of the project.For example,the risk of substandard functions and effects can be evaluated by referring to the substandard rate proportion in the history of enterprises,following which the risk can be classified into the corresponding grades.

3.2 Severity evaluation model for risk consequences

3.2.1 Classification of risk indexes based on risk consequences

By analyzing the risk consequences resulting from the risk factors at three different stages in the time sequence of the investment and construction of power grid projects,the risk indexes can be classified and analyzed according to the different aspects of the consequences (cost,income,safety,and efficiency),as illustrated in Fig.2.

Fig.2 Classification of risk indexes

3.2.2 Severity grading model for classified risk indexes

The different risk index types of power grid construction projects are classified according to the risk degree and impact consequences (degree of harm).Considering the current investment environment of power grid construction projects,and based on professional experience,this study divides the risk severity into five grades {Severity grade=1,2,3,4,5 | 1=negligible,2=small,3=medium,4=large,5=serious}.The specific grading in different situations should be determined according to the depth and quality of the risk management.

The detailed definitions of each severity grade for each index,based on the index type and characteristics,are as follows:

(1) The severity grade of the cost index is defined based on the proportion of the additional cost (Cup) to the total planned cost (Co)caused by this type of risk factor.The severity grade of the income index is defined based on the proportion of the reduced income (Eloss) to the expected total income (Eo).The specific definitions are listed in Table 2.

Table 2 Definitions of cost and income index severity grades

Grade Specific definitions Cost (Cup/C0 × 100%) Income (Eloss/E0 × 100%)1[0,1) [0,5)2[1,3) [5,15)3[3,6) [15,30)4[6,10) [30,50)5[10,+∞][50,+∞]

(2) The severity grades of the efficiency and safety indexes are defined based on the characteristics of these two indexes.In this case,Q1 and Q2 measure the degree of harm according to the ratio of the difference value between the primary data value (operational actual value) and expected value to the expected value.The remaining indexes are defined by the degree of harm caused by various changes in the primary data.The specific definitions are listed in Table 3 and 4.

Table 3 Definitions of efficiency index severity grades

Specific definitions Grade Q1%Q2%Q3%Q4%Q5%1 [0,10][0,5) [0,0.5) [0,1) [2,+∞)2 (10,30][5,15) [0.5,1) [1,2) [0,2)3 (30,60][15,30) [1,2) [2,4) [-3,0)4 (60,80][30,50) [2,5) [4,6) [-6,-3)5 (80,100][50,100][5,+∞][6,+∞](-∞,-6)

Table 4 Definitions of safety index severity grades

Grade Specific definitions M1 Times/Y M2 M3 h/(units·Y)h/(km·Y)M4%1 0 0 0 100

Continue

Specific definitions Grade M1 M2 M3 Times/Y h/(units·Y)h/(km·Y)M4%2 1 (0,1](0,0.1](99.90,99.99]3 2 (1,4](0.1,0.5](99.70,99.90]4 3 (4,10](0.5,1](99.00,99.70]5 [4,+∞](10,+∞](1,+∞](0,99.00]

The consequence severity evaluation of the various risk indexes of power grid construction projects can also be achieved by two methods:expert forecasting and historical data calculation.

3.2.3 Risk grade value of risk events

For each risk grade value Rrj,there is a corresponding occurrence probability grade.Therefore,the risk grade value of the risk event is determined by a combination of the severity grade and occurrence probability grade,calculated according to the following formula:

In the above, Rrjis the risk grade value of the j-th risk index of the r-th type {r =1,2,3,4 | 1=cost,2=income,3=efficiency,4=security}.Furthermore,Lg is the risk severity grade,Pg is the probability grade of the risk events,and n is the number of severity grades of the risk consequence.

4 Investment decision model based on discrimination maximization combined weighting method

4.1 Investment decision model for power grid projects

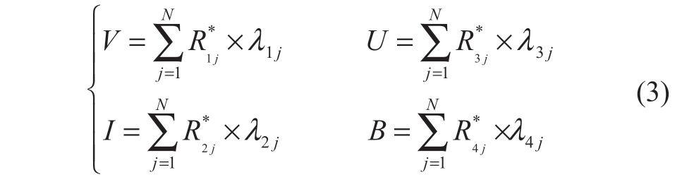
Following the holographic evaluation of risk indexes for power grid construction projects,it is necessary for comprehensive risk calculations to be carried out.Thereafter,the project will be selected under a certain investment scale,based on the comprehensive risk,and input and output thereof.This study provides four risk index types based on the output/input ratio and the investment and operation performance of power grid construction projects.These four risk index types are the cost risk coefficient,income risk coefficient,safety risk coefficient,and efficiency risk coefficient.These are used to adjust the output/input ratio to complete the investment risk assessment of the grid project and support investment decisions.The investment decision evaluation model for power grid construction projects based on the discrimination maximization combined weighting (DMCW) method established in this study is as follows:

In the above,S is the comprehensive score for the investment decisions of power grid projects,E is the expected income of the power grid projects (unit:10,000 CNY),C is the investment cost of the power grid projects (unit:10,000 CNY),V is the cost risk coefficient,I is the income risk coefficient,U is the efficiency risk coefficient,and B is the safety risk coefficient.Among these,the original value is used for both the income and cost,and the formula for calculating the various risk factors is as follows:

In the above formula,N is the number of risk indexes in each risk type; λ1j,λ2j,λ3j,and λ4j are the DMCW weights corresponding to the i-th risk index; is the standardization value of the risk,which is obtained through normalizing R1jby formula (5); and (r =2,3,4) is the standardization value of the risk,which is obtained through normalizing Rrj (r =2,3,4) by formula (6).

4.2 Risk index normalization

The risk assessment system established in this study evaluates power grid projects according to multiple dimensions,such as safety and economy,and is a typical multi-index evaluation system.In this system,owing to the differing natures of every evaluation index,various dimensions and orders of magnitude are exhibited.When the levels between the indexes differ significantly,if the analysis is performed directly using the original index values,excessive emphasis will be placed on the role of the higher-value indexes in the comprehensive analysis,and the effect of the lower-level indexes will be relatively weakened.Therefore,to ensure reliability of the results,the original index data need to be normalized [13].

Normalization of the index data mainly consists of two aspects:data homogenization processing and dimensionless processing.The data homogenization process mainly solves the problem of the different natures of the indexes.Direct weightings of indexes with different natures cannot correctly reflect the comprehensive results of various factors.It is necessary to adjust the nature of the inverse indexes first,so that all of the indexes have the same effect on the evaluation plan.In this manner,the comprehensive results will be accurate.The data dimensionless processing is mainly designed to make the data comparable.Following the above standardization processing,the original data are converted into the dimensionless evaluation index value; that is,all index values are at the same quantity level,so that comprehensive evaluation analysis can be performed.

Presently,commonly used methods of index normalization include the range transformation method,Z-score standardization method,and linear proportional transformation method,among others.These normalization methods are applicable to different situations owing to various factors,such as the variations in the maximum and minimum data values,the changes in the index direction,and the differences between the positive and negative indexes.In the risk assessment system established in this study,the data sources used are true,and the extreme value of each risk index is stable and can be determined.However,various evaluation indexes with different natures and directions exist in the evaluation system.Therefore,this study adopts the range transformation method as the standard processing method for the index normalization.

In the range transformation method,the range represents the difference between the largest and smallest data values in a dataset.The range transformation method is used to scale the attribute data into a small specific interval (usually [0,1]) to analyze the data attributes further.The formula for the range transformation method is as follows:

where xmax is the maximum value of the sample data and xmin is the minimum value of the sample data.The advantage of this method is that,regardless of whether the index value is positive or negative,the normalized index satisfies 0 ≤ yhw ≤1 after range transformation,and the positive and negative indexes all become positive indexes,with 1 as the optimal value and 0 as the worst value.However,an obvious drawback of this method is that,when new data are added,this may cause a change in the maximum and minimum values,which need to be redefined.The processing result of this method is mainly related to the maximum and minimum index values,so it is applicable to cases in which the maximum and minimum values are certain and unchanged.

4.3 Risk index weighting method

4.3.1 Traditional weighting methods

Different weightings of varying evaluation indexes in a multi-index comprehensive evaluation will directly lead to changes in the priority order of the objects evaluated,and therefore,the rationality and accuracy of the weights directly affect the reliability of the evaluation results.

From an evaluation perspective,the weighting methods can be divided into two categories,namely subjective and objective.The subjective weighting method is based on decision-making experts,with their experience and subjective judgment.It only reflects the importance of the index itself,and does not reflect the index data information.Thus,it cannot differentiate the evaluation results effectively.However,the objective weighting method calculates the actual numerical value of each index.The index weight is influenced by the index numerical value,and its stability is weaker than that derived from the subjective weighting method.In general,it varies with the changes in the evaluated object value,and cannot directly reflect the importance of the index itself,or the policy orientation of actual problems.

Therefore,the comprehensive consideration of subjective and objective weights,and the calculation of the subjective and objective weights of evaluation indexes,can lead to a more appropriate assessment of the evaluated objects and a more effective distinction among alternative schemes.

4.3.2 DMCW method

The DMCW method is a combined weighting method that takes both subjective and objective weighting into consideration.It uses a single index as the combination unit,and determines an appropriate interval for each index weight.If the index weight is within the interval,it is indicated that the weight combines the advantages of both the subjective and objective weighting methods.Thereafter,it establishes an optimization model based on the combined weights to maximize the discrimination of the evaluated objects.The specific steps are illustrated in Fig.3.

Fig.3 Steps of DMCW

4.3.2.1 Determining reasonable interval of DMCW combined weights

Four principles are applied in determining the appropriate value interval of the DMCW combined weights,as follows:

Principle 1:∃ρ >0,causing the DMCW combined weight ηj of the j-th index to fall within the ρ-neighborhood of the subjective weight αlj; that is,ηj∈(αlj-ρ,αlj+ρ),demonstrating that the DMCW combination weight ηj takes into account the weight information of the subjective weight αlj.Moreover,a smaller ρ results in a superior conclusion.

Here,αlj denotes the weight of the j-th index under the l-th weighting method,which is a subjective weighting method.

Principle 2:∃ρ >0,causing the DMCW combined weight ηj of the j-th index to fall within the ρ-neighborhood of the objective weight βbj; that is,ηj∈(βbj-ρ,βbj+ρ),indicating that the DMCW combination weight ηj takes into account the weight information of the objective weight βbj.Moreover,a smaller ρ results in a superior conclusion.

Here,βbj denotes the weight of the j-th index under the β-th weighting method,which is an objective weighting method.

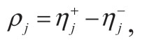
Principle 3:∃ρ >0,causing the DMCW combination weight ηj of the j-th index to fall within the ρ-neighborhood of the subjective weight ααj and within the ρ-neighborhood of the objective weight βbj,indicating that the DMCW combined weight ηj takes into account the weight information of the subjective weight ααj and the objective weight βbj.A smaller ρ results in a superior conclusion.Principle 4:Assuming that the appropriate interval of the DMCW combined weight ηj of the j-th index is Here, is the upper bound of the DMCW combined weight ηj of the j-th index,and is the lower bound of the DMCW combined weight ηj of the j-th index.

where l+t=m,and max(α1j,α1j,…,αlj,β1j,β2j,…,βtj) denotes the maximum value of m (where m is a cardinal numeral) weight values assigned to the j-th index by m different weighting methods; min(α1j,α1j,…,αlj,β1j,β2j,…,βtj) denotes the minimum value of m weights assigned to the j-th index by m different weighting methods.

The explanation of the appropriate interval in principle 4 is as follows:

According to principles 1,2,and 3,the ρ-neighborhood (δij - ρj, δijj) of the j-th index weight δij under the i-th weighting method is the reasonable interval for δij.The j-th index has m weights,and there are m reasonable weight intervals,namely (δ1j- ρj,δ1j+ρj),(δ2j- ρj,δ2j+ρj),…,(δmj- ρj,δmj+ρj).The “intersection” of the m weight intervals represents the reasonable weight interval of index j.When ρj is the smallest and the “intersection” of m reasonable weight intervals is Furthermore,δij is the weight under the subjective or objective weighting method.

4.3.2.2 Establishing optimization model based on DMCW

To maximize the discrimination degree of the evaluated objects,the maximum variance of the evaluated object based on the combined weight of the DMCW is used as the objective function.

Firstly,the positive and negative risk indexes should be standardized to provide a consistent direction.

The positive risk indexes are processed negatively,for which the specific formula is as follows:

The negative risk indexes are possessed positively,for which the specific formula is as follows:

In the above,Xγj is the j-th standardized index value of the γ-th evaluated object; uγj is the j-th index value of the γ-th evaluated object; and k is the number of evaluated objects.

Secondly,a normalized matrix of n indexes of K evaluated objects is calculated.

The formula for calculating the comprehensive score Z of the evaluated object is as follows:where ηγ=(η, η,…,η)T denotes the vector of the DMCW combined weights of the n indexes of the γ-th evaluated object,while η denotes the DMCW combined weight of the n-th index of the γ-th evaluated object.Moreover,represents the vector of n normalized indexes of the γ-th evaluated object,whileXnj represents the normalized index of the γ-th evaluated object.

The average of the comprehensive result is determined as follows:

Thirdly,the variance of the comprehensive results is determined,and the formula is expressed as follows:

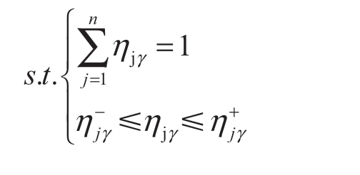
Finally,a DMCW optimization model is established:

1) The maximum variance of the score of the evaluated objects under the DMCW combined weights is the objective function.

2) The constraint condition is as follows:the sum of the appropriate index interval and index weights is 1.

In the above, is the upper bound of the DMCW combined weight η of the j-th index of the γ-th evaluated object,while is the lower bound of the DMCW combined weight η of the j-th index of γ-th evaluated object.

4.4 Evaluation process

Based on the holographic risk assessment and the combined and optimized weighting method,the specific steps for investment decisions in the power grid construction project are as follows:

(1) Determine the probability grade corresponding to each severity grade of each risk event based on the probability grading evaluation model for the risk indexes and severity evaluation model for the risk consequences.

(2) Calculate the risk value of each risk index according to formula (1).

(3) Normalize the risk value of each risk index.

(4) Calculate the subjective and objective weights of each index based on the four types of impact consequences,using AHP and the variation coefficient method.

(5) Use the DMCW method to optimize the subjective and objective weights obtained in the previous step,and then obtain the DMCW combined weight of each index.

(6) Based on the standardized risk value of each index and the corresponding DMCW combined weight,calculate the comprehensive risk values of the four types of risk consequences using formula (3).

(7) Based on the comprehensive risk values,and output and input of power grid construction projects,calculate the comprehensive scores of the investment decisions of power grid construction projects using formula (2).

(8) Conduct a horizontal and vertical comparative analysis of the comprehensive scores for each project,locate the weak and inefficient parts of the power grid construction project,and determine selected projects under a certain investment scale.

5 Case analysis

5.1 Basic data

To verify the feasibility of the proposed method,a power grid in a certain province was selected as the research object,and investment risk assessment was carried out using a sample consisting of 10 power grid projects declared in the region.According to the limitations of the total investment,three optimal projects were required for investment in construction.The project data were derived from the postevaluation database of the power grid project.All of these grid projects met the relevant technical and economic requirements of power transmission and distribution engineering in China.Parts of the information are displayed in Table 5.

Table 5 Parts of power grid project information

Project number Additional line length (km)New power conversion capacity (MV)Plan construction period (years)Dynamic investment payback period (years)Return on investment (%)1 33.5 100 2 12.93 3.01 2 96.57 2,004 2 13.48 3.37 3 26.85 150 2 13.34 3.38 4 61.234 2,000 1.5 13.13 3.93 5 32 300 1.5 13 4.03 6 9.5 360 2 13.04 4.03 7 38.3 360 1 12.72 4.46 8 39.3 300 1 13.22 3.88 9 23.574 130 1 13.1 3.96 10 37.8 100 1 13.41 3.32

5.2 Calculation results and analysis

Based on the actual survey data,the four risk types were classified into different severity grades according to the loss degree of the risks.Thereafter,the probability distribution model for the risk indexes was established according to the data in the post-evaluation database.Finally,the occurrence probability of each index in the corresponding severity interval was obtained.Moreover,owing to the limitations of the paper length and research data,this study analyzed the efficiency risk indexes combined with project 1.The results of the severity and probability levels of all items evaluated are presented in Appendix 1.

After the efficacy risk grade was obtained by formula (1),the efficacy risk coefficient was obtained by weighting the risk index.Three weighting methods were used for comparative calculation and analysis.The weighting and coefficient results are displayed in Table 6.

Table 6 Functional effect class index weights of project 1

Method Index Evaluation score Subjective Objective Combined Q1 20 0.0667 0.1893 0.1574 Q2 18 0.1333 0.1236 0.1273

Continue

Method Index Evaluation score Subjective Objective Combined Q3 20 0.3333 0.1607 0.2354 Q4 14 0.2667 0.2222 0.2386 Q5 15 0.2 0.2802 0.2413 U— 0.51048 0.527469 0.51122

It can be observed from the weighting and calculation results of the efficiency risk indexes that the weight of the subjective weighting method was significantly influenced by the subjective intentions of investors.As with traditional evaluation methods,the importance of the actual construction demands was emphasized.Therefore,a deviation occurred in the risk index weight.The weight of the objective weighting method was significantly influenced by the data,and it could not discriminate the bad data.This method is strongly dependent on the authenticity of the data,and a certain deviation will occur in practical applications.In contrast,the score of the combined weighting method not only maintained the objectivity of the data,but also considered the investment direction of the grid projects.The two were mutually restricted and revised,and the evaluation obtained was more reliable.

By performing the same evaluation process for the other three risk index types,the other three risk coefficient types could be obtained,and the final evaluation results were calculated by substituting the three risk coefficients into formula (2).The final evaluation results are presented in Table 7.

Table 7 Investment risk assessment score and ranking of power grid projects

Project number Subjective score Subjective ranking Objective score Objective ranking Combined score Combined ranking Change in ranking 1 112.14 8 135.01 8 121.30 7+1/+1 2 118.51 7 157.41 5 145.11 6+1/-1 3 136.82 6 146.14 6 118.56 8 -2/-2 4 153.01 3 178.22 4 169.45 2+1/2 5 97.24 10 113.12 10 99.39 10 —6 102.27 9 113.13 9 104.52 9 —7 161.85 2 180.37 3 163.41 4 -2/-1 8 144.57 5 142.97 7 149.05 5 —/+2 9 144.80 4 182.63 2 164.27 3+1/-1 10 204.06 1 206.74 1 207.77 1 —

It can be observed from the above comparison that more than half of the project rankings changed under the three different weighting evaluation methods.Among these,the projects with more obvious risks (such as project 5,6,and 10) had the same ranking under the three evaluation methods,indicating that the results obtained by the combination weighting method not only maintained the objectivity and authenticity,but were also consistent with subjective cognition.For the projects with a complex risk situation and similar risk levels,the rankings following the combination weighting optimization exhibited certain changes compared to their rankings under the two single weighting methods.This demonstrates that,when there are no significant differences among the objective data,and if it is difficult to use the subjective method to measure the complex risk status accurately,the combined weighting method offers obvious advantages owing to its distinguishing degree.Therefore,the combined weighting method could accurately measure the key risk factors,and the final decisions were changed accordingly.The subjective weighting method was used for project 4,7,and 10; the objective weighting method was used for project 7,9,and 10; and the combined weighting method was used for project 4,9,and 10.The combined weighting method provided a more precise investment decision-making plan.

Table 8 Comparison of risk levels of functional indexes of different projects

Risk index Index score project 1/project 3 Combined weight Q1 20/25 0.0667 0.1893 0.1574 Q2 18/16 0.1333 0.1236 0.1273 Q3 20/19 0.3333 0.1607 0.2354 Q4 14/14 0.2667 0.2222 0.2386 Q5 15/14 0.2 0.2802 0.2413 Subjective weight Objective weight

Table 8 compares several risk indexes for project 1 and 3.It can be observed from the calculation results that project 1 and 3 were similar in terms of the absolute value of the risk index scores.However,the index scores of project 1 were more even,while project 3 had a lower score on index Q1,as well as exhibiting obvious penitential risks.When conducting the assessment with the different weighting methods,the subjective weighting method placed too much emphasis on the single risk index Q3,but too little emphasis on the potential risk of Q1.As a result,the score of project 3 was higher than that of project 1.Therefore,the method failed to provide an appropriate assessment of the investment risk.The objective weighting method only manifests the characteristics of the data itself.Although it discovered potential risks in Q1,it did not pay attention to the investment willingness of the power grid companies,so the results lacked the guiding function for selecting the investment direction.The weights obtained using the combined weighting method in this study not only considered the subjective tendency of the investors and placed a larger weight index Q3,but also identified the most serious risk in Q1 in terms of the maximum discrimination.The method improved the weight ratio of index Q1 and highlighted the weakest link,making the overall risk evaluation more accurate.Thus,it could provide investors with more explicit investment assistance.

The above analysis demonstrates that the proposed method can effectively meet the investment decisionmaking requirements for power grid projects under the current power market investment environment.By using the combination weighting method in the evaluation model,the risk index weights can be optimized appropriately,and the requirements of both subjective and objective analysis are satisfied simultaneously.This approach can aid investors in performing accurate assessment of the overall risk level and key risk factors of the project,thereby achieving the purposes of precise investment.

6 Conclusions

In view of the current situation of power grid project investments,and within the context of new energy development and market reform in China,this paper has proposed a method that can be applied to the risk evaluation of power grid projects.The results of the study demonstrate the following:

(1) The risk assessment index system can fully cover the time sequence of power grid projects.The established indexes examine power grid projects in a multi-dimensional and multi-perspective approach.This method not only reflects the potential risk factors of the power grid project itself,but also takes into account the impact of other factors,such as the macro-economy,policy,and reform.

(2) The maximized discrimination combined weighting method prevents the deviations caused by subjective willingness in the one-sided subjective weighting method.Moreover,it considers the development intentions of investors based on providing objectivity as far as possible,and effectively guarantees the rationality and applicability of the evaluation model.

(3) The investment decision results of power grid projects based on risk assessment can reflect the potential risk factors of the project to be selected.The results can aid decision makers in mastering key risk links and the overall risk level of the power grid project,thereby providing effective support for risk management and precise investment.

Acknowledgements

This work was supported by the State Grid Science and Technology Project (SGTYHT/16-JS-198).

References

[1]Wang B,You D,Yin X et al (2011) A Security Risk Assessment System of Complicated Power Grid Based on Multiple Factor Analysis.Power System Technology,35(01):40-45

[2]Sun Q,Zhang Y,Han D et al (2012) Multifactorial and Multidimensional Risk Evaluation of Smart Grid.Power System Technology,36(09):51-55

[3]Li P (2014) Research on Smart Grid Operational Management Risk Element Transmission Model and Decision Support System.North China Electric Power University,2014

[4]Fu W,Mccalley JD,Vittal V (2001) Risk assessment for transformer loading.IEEE Transactions on Power Systems,16(3):346-353

[5]Liu C,Jiang Y (2010) Risk analysis and assessment of wind power.In:2010 IEEE International Conference on Emergency Management and Management Sciences,pp:511-514

[6]Wang Z (2012) Study on Risk Management of Power project Based on full life-cycle.North China Electric Power University,2012

[7]Xie C,Dong D,Duan K et al (2012) Coordination Degree Evaluation of Low Carbon Generation Expansion and Grid Planning Based on Analytic Hierarchy Process Method and Distance Coordination Degree.Power System Technology,36(11):1-6

[8]Hu Y (2016) Study on Comprehensive Evaluation of Transmission Grid Planning Based on Improved Fuzzy-AHP.North China Electric Power University,2016

[9]Wang E,Ren Y,Zhu C et al (2010) An Index system for Overall Efficiency Evaluation of Distribution Network Applying Three-Stage Data Envelopment Analysis.Power System Technology,34(11):100-105

[10]Lin Y,Xie H,Huang G et al (2016) Research on risk management of electric power industry information communication system construction project.Modern Electronics Technique,39(23):111-115

[11]Li J,Gao Y,Song F (2014) Comprehensive Application of Risk Evaluation Project for Power Grid Planning.Electric Power Construction,35(12):14-18

[12]Feng R (2015) Multiple Attribute Decision-making with Interval Numbers Projection and Its Application in the Power grid Planning.In:Aasri International Conference on Circuits and Systems,2015

[13]Dong M,Li S,Zhang H (2015) Approaches to group decision making with incomplete information based on power geometric operators and triangular fuzzy AHP.Expert Systems with Applications,42(21):7846-7857

Appendix A

Table A1 Risk index system of power grid construction project

Index Unit Index meaning C1 Yuan Fluctuations in the loan interest rate cause a deviation between the expected and actual costs.C2 Yuan Financing problems cause additional construction costs.C3 Yuan During the investment and construction of overseas power grid construction projects,the exchange rate variations among different foreign currencies cause additional construction costs.C4 Yuan The construction project plan decision-making mistakes and strategic planning imperfections result in additional construction costs.C5 Yuan Improper selection of equipment,in terms of the model,capacity,and performance,leads to additional costs.C6 Yuan Problems caused by local policy orientations result in additional construction costs.C7 Yuan The incompatibility between grid construction planning and local development planning results in additional construction costs.C8 Yuan The problem of land requisition causes additional construction costs,such as disputes over land requisition compensation,land requisition rationality,and other issues encountered in the land requisition process.C9 Yuan Substandard project and unqualified acceptance checks caused by engineering technical problems result in additional construction costs.C10 Yuan Overspending on sewage treatment caused by technical problems leads to additional construction costs.C11 Yuan Poor coordination among departments or personnel results in additional construction costs.C12 Yuan Personnel safety incidents result in additional construction costs.C13 Yuan The construction cost increases owing to climatic factors.For example,the duration of severe weather such as rain and freezing during the construction year exceeds expectations.C14 Yuan Factors such as geography and geology lead to additional construction costs.For example,an inconvenient geographical location results in additional transportation costs.C15 Yuan The construction cost increases owing to natural disasters,such as typhoons,debris flows,and floods.E1 Yuan The decrease in electricity consumption owing to a recession in the region leads to lower income than expected.The decline in electricity prices caused by certain factors,such as policy orientations,changes in the generation costs of different power structures,changes in the production,and trading and management levels of electric energy leads to a decrease in income.E3 Yuan Changes in tax lead to lower incomes.E4 Yuan Electricity reforms lead to a decrease in income.E5 Yuan Revenue growth is slower than expected owing to the development of electric power technology.E6 % The rate of return on investment does not meet expectations.E7 Years The payback duration does not meet expectations.Q1 % The average load rate of the line is the ratio of the annual average load to the rated capacity of the line.The line load rate deviation is the percentage of the part in which the actual load rate exceeds the average load rate to the average load rate.E2 Yuan Q2 %The maximum load rate deviation of the main transformer is the percentage of the part in which the actual maximum load rate of the main transformer exceeds the expected maximum load rate of the main transformer to the expected maximum load rate of the main transformer.

Continue

Index Unit Index meaning Q3 % The annual growth rate of electricity consumption in power grid construction projects is lower than expected.Q4 % The annual line loss rate is the percentage of the line loss to the total power supplied by the line in a year.Q5 % The annual main transformer loss rate is the ratio of the actual main transformer loss to the actual input power of the main transformer in one year.The main transformer loss includes no load loss and load loss.M1 Times/year The load changes caused by the refusal and maloperation of the protection device cause hidden dangers to the load side.M2 h/(set*year) The load changes caused by the forced shutdown of transformers cause hidden dangers to the load side.M3 h/(km*year) The load changes caused by the forced outages of transmission lines cause hidden dangers to the load side.M4 % Problems of bus voltage power quality problems cause hidden dangers.

Received:18 September 2018/Accepted:01 November 2019/Published:25 October 2019

Minghua Liu

lgrdlfml@126.com

Yuan Chang

cydtsps@126.com

Chenmiao Liu

1183763759@qq.com

Wenxia Liu

liuwenxia001@163.com

Zongqi Liu

lzq@ncepu.edu.cn

Heng Zhang

zhangheng@chinasperi.sgcc.com.cn

Yan Zheng

zhengyan@chinasperi.sgcc.com.cn

2096-5117/© 2019 Global Energy Interconnection Development and Cooperation Organization.Production and hosting by Elsevier B.V.on behalf of KeAi Communications Co.,Ltd.This is an open access article under the CC BY-NC-ND license (http://creativecommons.org/licenses/by-nc-nd/4.0/).

Biographies

Yuan Chang received his bachelor degree in 2017.Currently,he is working toward his master degree in Electrical and Electronic Engineering,at North China Electric Power University.His major interest includes the optimal planning of distribution network.

Chenmiao Liu received her bachelor degree in 2014.She is currently pursuing her master degree in Electrical engineering at North China Electric Power University,Beijing,China.Her research interests include power system risk assessment,power system planning and reliability.

Minghua Liu received his bachelor degree in 2013.Currently,he is pursuing his master degree in Electrical engineering at North China Electric Power University,Beijing,China.His major interest includes power system planning.

Wenxia Liu,professor and doctoral supervisor,working at North China Electric Power University.Her research interests are power system planning and reliability,and power system risk assessment.

Zongqi Liu,professor and master supervisor.Library director of North China Electric Power University,member of the reliability committee of China Institute of Electrical Engineering.His research interests are power system operation and control and new energy generation technologies.

Heng Zhang received her master degree in Technology Economy and Management from North China Electric Power University in 2012.She has been an engineer at the State Grid Economic and Technological Research Institute.Her current research interests are technical and economic evaluation of power grid project.

Yan Zheng received her Ph.D.degree in Technology Economy and Management from North China Electric Power University in 2007.Since 2008,she has been an engineer at State Grid Economic and Technological Research Institute.Her current research interests are technical and economic evaluation of power grid project.

(Editor Chenyang Liu)